|
An
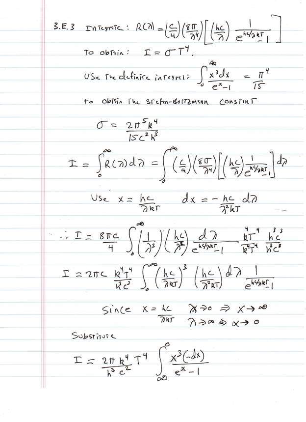
Example of how homework should be formatted and turned in. |
|||||
|
|
|||||
|
The following was contained in your
syllabus, but it is reprinted for your convenience below before an example
homework problem is presented. |
|||||
|
|
|||||
|
Homework will be assigned
periodically. It will be collected and
graded. It will be due at 5:00 PM
the day of the date announced. All
homework problems are to have the problem written out in full (including any diagrams) at the top of the
page. You may not leave out words or abbreviate
any words from the book. The ONLY
exception is you may leave out figure references since you will sketch as
well as you can the figures for each problem (or you can paste in a photocopy
of the figure). For example instead of
writing “figure P. 7.4-8 is…” you may write “The figure shown …” or “The figure
below…” Otherwise all other words must
be written out. Failure to do this
will result in a loss of points. |
|||||
|
|
|||||
|
You are to use only one side of a sheet of paper while
solving the problem. Start each problem on a NEW sheet of paper. All homework is to be done on standard size
paper. Homework should be assembled
with care to ensure that all pages are in correct order. Problems should proceed in an increasing
numerical order with any Extra problems assigned from outside the text book
being placed after the assigned textbook problems. |
|||||
|
|
|||||
|
In the case of thick packets of paper,
a large paperclip may be preferable to a staple. Please do not fasten homework in a manner
which makes it difficult for the solutions to be read. Homework, as well as exams and labs, should
be free of debris: coffee stains, food particles, eraser pieces, ragged
edges, etc. Please make the pages as
neat as possible. |
|||||
|
|
|||||
|
Papers
which the professor cannot read for any reason (legibility, size of your
writing, contrast between writing and paper, etc.) are just wrong, and all
points will be lost. Additionally,
pages out of order, upside down, backwards, etc. may also result in a loss of
points. A wise student would do a
final check to ensure that all problems are present, complete, legible and in
proper order before turning them in. Homework is YOUR opportunity to show the professor
that you understand the material and can produce a proper solution. The numerical answer is not the final
criteria. All problems which require
numerical answers must be have a value
not an equation. Moreover, all numerical
answers (unless they are pure numbers), must have an appropriate set of units. No
units when needed, No Credit for the problem!!! |
|||||
|
|
|||||
|
Please be aware the professor knows
many of the problems in the textbook provide an answer. You may not just write down the answer even
if you claim you can do the problem by inspection. You are to provide some reasonable and
correct justification for all problem solutions. Solutions
are just that, solutions. They require
occasional words to explain why the equations being used are the right ones,
etc. Do not just provide a string
of equations and algebra and produce a final answer. Show a thought process! Finally, occasionally the book provided
answer is not the answer the professor believes is correct. The professor’s answer is the correct one
by definition. |
|||||
|
|
|||||
|
These
are not suggestions! They are
requirements. Homework not done by these specifications
is subject to loss of points including all
points at the professor’s discretion.
Failure to use these specifications on subsequent homework assignments
will see an increase in points deducted. |
|||||
|
|
|||||
|
You are encouraged to work with others
in the class on the homework. However,
write-ups of the problem solutions should not be “Xerox” copies of other
students’ solutions. You are
encouraged to see the professor for help as well. Recall the “15 minute” rule. The professor is willing to discuss
homework answers prior to homework submission; though he is not willing to
verify answers for exams prior to submission. |
|||||
|
|
|||||
|
MATLAB
RULE: All
homework problems and exam problems which ask for sketches or plots are
to be done in MATLAB only. NO
HAND DRAWN PLOTS EVER!!! No use of Excel! All such MATLAB plots are to have your
name, date, proper axis labels, especially including appropriate units, and
the scales should be such that as much as possible a single page is filled by
the plot. All MATLAB work must include
the m-file which created the plot or solved the problem. The m-file should have cleaned up text from
the command window showing the answers in a comment section at the end of the
m-file. By cleaned up it is meant that
extra spaces, duplicate results, error messages, etc. should have been
removed. Your professor will explain
this to you. |
|||||
|
|
|||||
|
In addition to providing printed
MATLAB work, for each assignment (homework and exam), you are required to send an email to the
professor either identifying that you did not use MATLAB or you attached a
zip file containing all MATLAB files produced to solve the assignment. This
email is also due at 5 PM. Failure to
send the email on time may result in loss of points. MATLAB work must be separated so that each
MATLAB file is used to solve one problem in the assignment. Do
not create one large MATLAB file that solves everything! Each use of MATLAB must have code to
associate with it. Failure to provide
the printed MATLAB code with the problem it belongs to may result in loss of
points. |
|||||
|
|
|||||
|
You may use an integral table, but you
may not use MAPLE, MATLAB or any other Symbolic Manipulator Program to do the
integrals for you. Please show the
Standard Integral form in your work. |
|||||
|
|
|||||
|
For Example: |
|||||
|
|
|||||
|
|
|||||
|
Proper axis labels would include
either {Force, F, (N)} or {Ln(Force),
ln(F), (ln(N))} Proper
titles would include a description for the plot, and your name and the date
on a second line. For example: Plot of Power Dissipated vs. Load
Resistance D.
W. Donovan – Jan 7, 2011 |
|||||
|
|
|||||
|
|
|||||
|
|
|||||
|
|
|||||
|
|
|||||
|
|||||
|
|
|||||
|
Please send any comments or questions about this page to ddonovan@nmu.edu |
|||||
|
This page last updated
on January 8, 2016 |