Chapter 4 Homework

Problem 4.3

Problem 4.5

Problem 4.6

Problem 4.8

Problem 4.9

Problem 4.17

Problem 4.24

Problem 4.26 - page 1

Problem 4.26 - page 2

Problem 4.27

Problem 4.31 - page 1

Problem 4.31 - page 2

Problem 4.35 - page 1

Problem 4.35 - page 2

Problem 4.36 - page 1

Problem 4.36 - page 2

Problem 4.38

Problem 4.40

Problem 4.42

Problem 4.43

Problem 4.46 - page 1

Problem 4.46 - page 2

Problem 4.46 - page 3

Problem 4.51 - page 1

Problem 4.51 - page 2

Problem 4.55 - page 1

Problem 4.55 - page 2

Problem 4.58 - page 1

Problem 4.58 - page 2

Problem 4.63

Problem 4.70

Problem 4.72

Problem 4.75 - page 1

Problem 4.75 - page 2

Problem 4.76

Problem 4.78 - page 1

Problem 4.78 - page 2

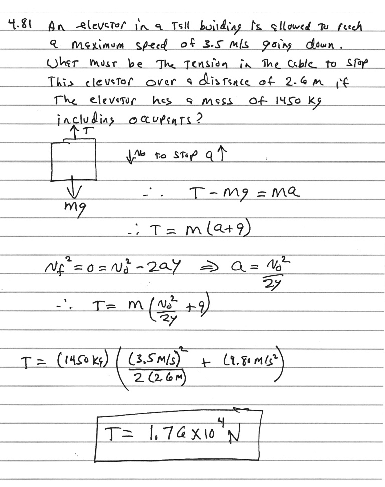
Problem 4.81

Problem 4.83 - page 1

Problem 4.83 - page 2

Problem 4.84

Problem 4.85

Problem 4.87

Problem 4.88 - page 1

Problem 488 - page 2



Back To PH 220 Homework Page

Back To Dr. Donovan's Courses Page

Back To Dr. Donovan's Homepage

Physics Dept. Homepage

NMU Homepage


Please send any comments or questions about this page to ddonovan@nmu.edu

This page last updated on February 1, 2010